您当前使用的浏览器版本过低,可能存在安全风险,建议升级浏览器,或者用以下浏览器浏览
东二环内侧,一栋135米的建筑悄悄立起,攫取了所有人的目光。它只是刚好在限高前拿到了入场券,又刚好落在二环最热闹的烟火里。
这就是深业泰樾府,主城二环内唯一的超高层纯住宅项目,也是此后主城住宅再无法超越的高度。
在楼市步入消费时代,房产回归居住属性的背景下,深业泰樾府是值得改善或置换的购房朋友们着重考虑的一个项目。

深业泰樾府位于成华区双林北横路127、129号,二环内,属于新华公园板块,是2020年5月深业泰然以16800元/㎡的成交楼面价竞得,乃当时的成华地王。
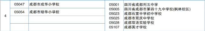
而根据2025年最新划片,深业泰樾府大概率正读成华小学校,成华区老牌学校,在学生和家长中的口碑都不错,目前也在领办二八板块的成华小学蜀都分校。

属于成华四区,对口的初中有英才、列五、49中、石室初中等,成华较好的初中基本都在对口范围。
项目总占地约34.2亩,容积率3.0,共规划了4栋住宅,共398户,其中一栋为返迁房。

当时的拿地条件中有:该宗地竞得人须在宗地内建设返迁安置房124套(商品住宅。其中,160平方米户型31套,100平方米户型62套,80平方米户型31套,全装修),并无偿移交给成都成华旧城改造投资有限责任公司。
外立面是由铝板和玻璃幕墙构成,用材不错,颜值比D10还是差那么亿点点,称不上惊艳,好看还是够得上的,在新华公园板块,也是鹤立鸡群般的存在。

大平层户型的框架和某书爆料的差不多,但建筑为核心筒设计,户型改造自由度较大,现在版本在功能性上做了提升,但还是比不了新规户型。
1、地段:二环内,交通便利,配套完善,除了城市界面差点之外,无明显短板。
2、产品算是短板,园林一般,超高层kaiyun 开云官方入口住宅塔楼,户型相比现在新规户型,功能性和得房率都有差距,由于是清水与核心筒设计,业主改造空间比较大,可以根据自身需求来。
3、二环内基本是没啥供应了,新规后,如此超高层的视野也需要说bye bye了。外立面的设计独特,用材也非常有诚意,整个立面颜值还是很高。总的说来,具有一定稀缺性!
声明:本文由入驻焦点开放平台的作者撰写,除焦点官方账号外,观点仅代表作者本人,不代表焦点立场。
成都「建发缦云」售房部电话_最新售价查询_楼盘详情介绍_热销户型解析_1月优惠政策
建发缦云位于双流怡心街道,临近怡心湖、南湖湿地公园,交通便利,周边配套完善,教育优质,生态资源丰富。
成都「空港云璟林著」售房部电话_最新售价查询_楼盘详情介绍_热销户型解析_1月优惠政策
成都「翡翠别院」售房部电话_最新售价查询_楼盘详情介绍_热销户型解析_1月优惠政策
【翡翠别院】现房别墅,70年产权,地铁1.2公里,赠送花园,首付2成,价格kaiyun 开云官方入口优惠,可预约看房。
成都「天府星萃里」售房部电话_最新售价查询_楼盘详情介绍_热销户型解析_1月优惠政策
天府星萃里是成都七中领办的十二年一贯制公办学校,主打现代简约风格,提供首付30万起、精装带地暖等优势,适合家庭购房。
成都蜀道蓝城桃李春风售房部电话_最新售价查询_楼盘详情介绍_热销户型解析_1月优惠政策
蜀道蓝城桃李春风位于新津,主打70年精装中式合院与洋房,配备地铁、商业配套,位于成都南拓发展核心区域,享高质生活与城市红利。
成都仁和春天银杏大道售楼中心电话_在售户型测评_房源状态及优惠_1月最新动态_年终钜惠_房价走势查询
成都「金牛国投上林语」楼盘深度评测:售楼热线、实时报价与房源详情全解析,全面剖析项目核心价值、竞争优势及潜在短板。
成都「合信K101」售楼处电话_户型品质_价格价值分析_1月优惠活动_二八板块公寓总价30万起回报率7%值得买吗
重庆「华润置地嘉宸」售楼部电话(开发商)楼盘测评及户型解析 年末最新销售动态
成都万景公园道1号营销中心 最新取证房价 开发商优惠政策 公园道1号优缺点分析
重庆「中梁海成南山云璟」元旦优惠活动 特价房查询 最新成交数据 中梁海成南山云璟销售电线
成都「天恒锦上樾」楼盘热线电话 实时房价动态与走势分析 开发商限时优惠补贴政策 首页项目首页入口
成都「粼湖天境」现已公开售楼热线,同步更新价格动态与精选房源,深度解析项目核心地段优势与户型设计亮点,并整合限时专属优惠资讯。
成都「鹭岛璟宸壹品」售楼部电话 元旦优惠政策 热销户型解析 2026年最新房价